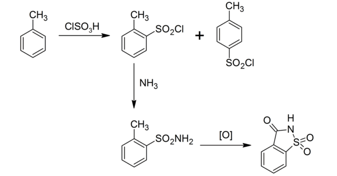
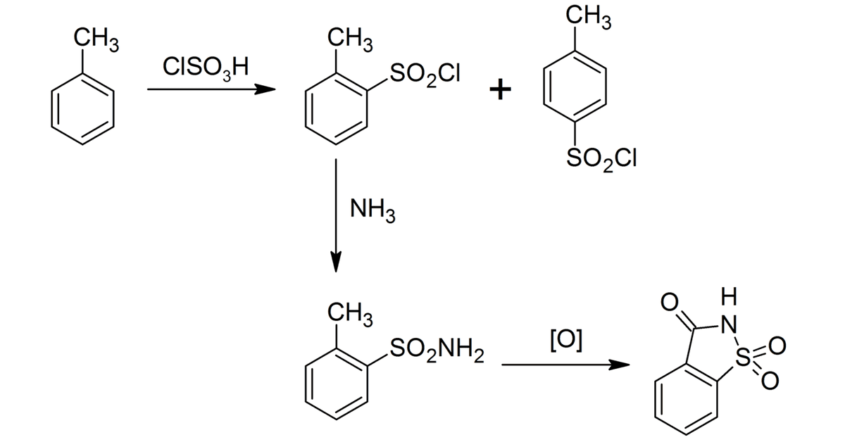
Chemical Synthesis of Saccharin: Like many artificial sweeteners, saccharin is chemically processed and highly refined
The main benefit of low-calorie sweeterners comes from decreasing refined dietary sugars. Despite possible health harms, LCS are unlikely to have the myriad of risks associated with processed sugars
Raw honey is a natural sweetener that promotes weight loss along with many other health benefits
As the media spotlights the potential health hazards of low calorie sweeteners, one natural sweetener, raw honey, promotes weight loss safely and healthily
— Charlotte Debras, French National Institute for Health and Medical Research
TORONTO, ON, CANADA, July 23, 2023/EINPresswire.com/ — With the ongoing obesity epidemic and increasing attention to health and physical fitness, low-calorie sweeteners (LCS) have gained popularity as a way to enjoy sweetened food and drink without the added calories from refined sugars that contribute to weight gain. However, recent research and media articles assert that artificial sweeteners may have the opposite effect and lead to weight gain rather than weight loss. This press release will explore the proposed mechanisms of weight gain with LCS and shed light on the potential risks and benefits associated with their consumption. A natural, healthy alternative for weight management, raw honey, will also be examined.
The Controversy Surrounding Low-Calorie Sweeteners:
Proposed mechanisms of weight gain with LCS include an induced craving for sweets, which may lead to the consumption of other foods high in processed sugars. Animal studies have shown that groups fed foods sweetened by artificial sweeteners gained more weight compared to those offered the same foods unsweetened by LCS. Some human studies have also demonstrated increased overall caloric consumption within the LCS group due to eating larger portions. Furthermore, the effects of artificial sweeteners on the intestinal microbiome may impair normal food metabolism and sugar metabolism, potentially contributing to weight gain.
Common low-calorie sweeteners used in North America include aspartame, saccharin, sucralose, and stevia leaf extract (steviol glycosides). While they offer calorie-free sweetness, controversies and potential hazards have been associated with these sweeteners. Here are just a few examples of possible harms associated with LCS:
Aspartame (Equal, Nutrasweet): At least one animal study showed an increased risk of some cancers associated with aspartame consumption, although this remains a controversial topic. The World Health Organization classifies aspartame as “possibly carcinogenic to humans”, while the FDA considers it safe for human consumption at reasonable levels.
Erythritol: Commonly accompanying stevia as a bulking agent, erythritol has been linked to a a 100% increase in risk of blood clots, heart attacks, and death in a study published in Nature Medicine.
Saccharin: Early research on rats indicated a risk of bladder cancer, leading to a ban in Canada and the USA until 2000. Subsequent research concluded that at normal levels of human consumption, saccharin did not measurably increase cancer risk.
In addition to potential weight gain, LCS may have detrimental effects on healthy intestinal microbiomes and glucose metabolism, possibly increasing the risk of developing diabetes. A study involving 3000 adults found that participants who regularly consume diet drinks sweetened with artificial sweeteners suffered three times as many strokes as those who didn’t consume these drinks and were at three times higher risk for heart attack. A study on the Framinghamgham Heart Study Offspring cohort linked consumption of beverages sweetened with LCS to an almost 3-fold increase in risk for Alzheimer’s Disease as well as increased risk for dementia of any kind.
Examining the Evidence:
To counter studies suggesting that LCS is associated with weight gain, a recent review and meta-analysis found flaws with previous studies and concluded that there is no good evidence supporting the notion that artificial sweeteners directly cause weight gain. Instead, it found that replacing dietary processed sugars with LCS may promote weight loss if other aspects of diet and lifestyle are controlled. Although evidence for the health risks of various LCS is inconclusive and incomplete, it is clear that low-calorie sweeteners are not a magic bullet for easy, risk-free weight loss. It’s worth noting that the artificial sweeteners used commonly to sweeten foods and drinks are highly refined substances, manufactured by chemical processes only introduced to the human diet relatively recently. Even stevia glycosides such as rebiana are extracted and refined, bearing little in common with the stevia leaf eaten by natives of South America. On the other hand, it appears highly unlikely thus far that any LCS could lead to the myriad of harms that a diet rich in processed sugars does. If LCS reduce refined sugar intake, the net effect is likely beneficial to health.
A Natural, Healthy Weight-Loss-Promoting Sweetener :
In contrast to LCS, raw honey, a naturally occurring sweet that has been eaten safely and used as a folk remedy for millennia, offers numerous health benefits beyond promoting weight loss. Raw honey is an energy-dense carbohydrate, so individuals with impaired blood sugars and diabetes should monitor their sugar intake. However, for individuals older than one year old, who are not allergic to honey and don’t have diabetes, raw honey poses no health risks.
Health Benefits of Raw Honey:
Raw honey boasts various health benefits, including antioxidant, anti-inflammatory, immune-boosting, anti-diabetic, anti-ulcer, and pro-digestive properties. Additionally, raw honey is a pre-biotic, supporting the growth of “good bacteria” in the gut and promoting a healthy intestinal microbiome. Studies in both animals and humans have shown that regular consumption of honey can lead to greater weight loss or decreased weight gain when raw honey replaces dietary refined sugars. Some research comparing addition of raw honey to the diet against placebo suggests that raw honey possesses weight-loss properties beyond simply reducing refined sugar intake. Furthermore, there’s ample research showing that consuming raw honey regularly reduces the risk of developing diabetes, providing further evidence of its beneficial effect on energy metabolism.
The body and mind require energy to operate. Artificial sweeteners generally offer no, or almost no energy, which can reduce caloric intake. However, as the body signals its need for energy, people may simply increase their caloric intake with other foods alongside their low-calorie and zero-calorie drinks and foods. Raw honey provides long-lasting energy in a healthy manner that reduces hunger, avoids sugar cravings, and promotes weight loss.
Conclusion:
While low-calorie sweeteners offer a potentially better alternative to refined processed sugars in weight management, they are not without potential health risks. On the other hand, raw honey can promote weight control while providing numerous health benefits. Understanding the risks and benefits associated with different sweeteners can empower individuals to make informed choices in their dietary preferences and weight management goals.
Jeremy Wendell
Wendell Estate Honey
+1 204-564-2599
email us here
Visit us on social media:
Facebook
Instagram
YouTube
Honey contributes to a natural, healthy lifestyle
![]()
































